工程造价人员▲江河治理和非均匀不平衡输沙理论
中国黄河、长江世界著名,不过治理上最为困难。图10比较了国际典型河流的比降。以黄河为例,1949年以前,是百年一改道、三年两决口的河流,亦为人民带来了深重的灾难。黄河四季流量变化大、泥沙含量多,水库淤积问题严重。黄河年输沙量1.6×109t,为亚马逊河年输沙量9×108t的1.8倍,多年平均含沙量达35kg·m–3,是亚马孙河的210倍。1992年调查表明黄河流域已经有超过20%的水库库容被淤损。为此,采用“蓄清排浑”“异重流排沙”等方法,实现了“不淤高、不决口、不断流、水质不恶化”的黄河治理目标。

图10国际典型河流的比降对比
黄河由于含沙量高,河道淤积严重,其下游已经成为高悬于黄淮海平原之上的地上悬河。为了应对黄河水沙灾害问题,胡春宏等提出了全河角度的空间优化配置总体框架,构建了黄河泥沙空间优化配置的理论和模型。有关管理部门提出了“基于小浪底水库单库调节为主、空间尺度水沙对接、干流水库群水沙联合调度”等调水调沙模式,形成了调水调沙理论及指标体系。
韩其为等创立了非均匀不平衡输沙理论,阐明了泥沙运动的非均匀沙、不平衡输移机理,解决了以长江三峡、黄河小浪底为代表的大型水库淤积与下游河道冲刷预测等难题,成功地把泥沙运动由定性描述上升为定量模拟。这个理论的先进性包括下列的几个方面:建立了非均匀不平衡输沙理论系列表达式,其中非均匀悬移质含沙量的沿程变化可以表示为式(2);揭示并证实了粗细泥沙交换是冲积河流河道演变的普遍规律;导出了平衡与不平衡条件下恢复饱和系数的表达式;建立了统计理论挟沙能力的理论体系;导出了竖向和纵向速度不同相关的泥沙转移和状态概率,提出了基于床面泥沙交换强度的扩散方程普适边界条件。在近些年来,非均匀不平衡输沙理论被广泛应用于国内外重要模型与工程实践中,发挥出重要的作用。易门工程造价

式中,S、S*分别为出口断面的非均匀沙总含沙量和总挟沙能力;

上面这个符号表示对1~n组泥沙求和;P4,l、P*4,l分别为悬沙及挟沙能力级配;α为恢复饱和系数;L为河段长度;λl=q/ωl为第l组泥沙的落距,这其中,q为单宽流量,ωl为泥沙沉速;下标0表示进口断面相应的值。
▲跨流域调水工程
为了保障可持续发展,长距离跨流域调水常是解决水资源短缺与优化水资源配置的必然选择。按照统计显示,全球已经有40多个国家与地区建成了350余项调水工程。中国已建、拟建大中型调水工程近50项,年调水量逾9×1010m³。南水北调工程(图11)预计年调水总量为4.48×1010m³,其中,东线1.48×1010m³、中线1.3×1010m³、西线1.7×1010m³,已建东线一期工程干线全长1467km、中线一期工程干线全长1432km,在调水距离、影响人口、工程复杂性与安全控制难度等多方面都是居世界之最。
长距离调水工程难题主要包括:
(1)不同时空尺度与不同要素过程的水循环模拟。
(2)多水源、多目标、多主体的群决策和风险调度。
(3)复杂巨系统安全高效运行水力控制。中国学者针对难题取得了多项进展与突破。
构建了考虑人类活动影响的分布式水文模型,提高了水文模拟对不同气候、下垫面条件、人类活动的适应性;提出了水库系统的经济特性和调度决策原理,开发了三种基于单调性的改进动态规划算法,计算效率比传统算法提高一个数量级;建立了水库调度规则多目标群决策优化技术,成功应用于南水北调中线丹江口水库。工程造价估价
在输水系统多约束、多相、多过程耦合模拟方面,提出了输水明渠关键水力参数系统辨识模型和输水系统复杂多相流数值仿真理论方法,成功应用于南水北调中线工程。
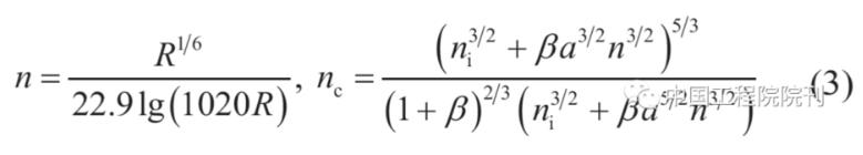
提出了渠道糙率系统辨识公式,见式(3)。这个公式为论证中国长距离输水工程的输水能力提供了理论基础,国际上现有的Einstein公式、Belokon-Sabaneev公式、Larsen公式均是封冻渠道综合糙率公式的特例。

式中,n为渠底糙率;R为渠道水力半径;nc为渠道综合糙率;ni为冰盖糙率;β为湿周比;a为冰封率。
创建了复杂输水系统水力调控频域分析理论与闸门群优化控制技术,提出了“粗调”“细调”和“协调”作用有机衔接的长距离复杂输水系统闸门群集散控制模式,设计了闸门群控制算法。
在调水系统常态应急态水力控制技术方面,开发了长距离输水系统水力控制新技术,有效解决了高中水头、长距离、大流量有压管道输水工程水机控制难题;建立了长距离输水系统冰情预测、冰害防治和冰期运行控制技术,成功应用于引黄济津工程、南水北调中线工程等。
在长距离调水工程中,深埋长隧洞在克服高山峡谷等地形障碍、缩短空间距离等方面具有不可替代的作用。据不完全统计,中国长度在5km以上的新建成和在建跨流域调水输水隧洞工程共22座,在这当中,大伙房一期工程输水隧洞单洞长85km,是如今世界上已建成的最长隧洞。现阶段,中国的以新奥法(New Austrian Tunneling Method,NATM)为核心的深埋长隧洞修建技术在很多方面已达到了世界先进水平,施工地质灾害的超前预报及其控制技术正在逐渐走向成熟,尤其是研制出拥有核心技术和自主知识产权的全断面岩石掘进机(TBM,图12)及配套的流程化施工方法,在南水北调中线穿黄隧洞、引汉济渭穿秦岭隧洞等多个工程中获得了成功应用。工程造价例子
▲巨型水电机组与抽水蓄能电站
中国巨型水电站的大规模建设驱动了巨型水电设备发展。1949-1978年,中国水电设备工业由小到大取得长足发展,自主研制生产了混流式、转桨式、冲击式水轮发电机组。1978年后,水电装备水平不断迈向新高度,刘家峡、龙羊峡、岩滩电站等采用的单机容量达到了300!MW级,李家峡单机容量为400!MW,二滩单机容量为550MW。以三峡工程为代表,采用了“引进、消化、吸收、再创新”的发展思路,中国大型水电装备制造业的常规水轮发电机组设计制造能力迅速提升至700MW级。三峡与龙滩机组共30多台,单机容量达到700MW;溪洛渡、向家坝与在建的白鹤滩、乌东德等电站,单机容量更是达到700~1000MW。在三峡右岸电站水电机组的研制中,哈尔滨电气集团公司通过采取优化定子线圈换位方式和定子机座结构形式、合理选择定子铁心材料和优化设计冷却系统等技术措施,自主开发了当时世界上单机容量最大的840MW全空冷技术水轮发电机。东方电气集团有限公司也为三峡地下电站研制了具有自主知识产权的、世界上单机容量最大的840MW蒸发冷却水轮发电机组。现如今,中国企业设计制造的800MW级水轮发电机组已经投入运行,1000MW级机组正在研制当中。
通过宝泉、惠州和白莲河三个蓄能电站机组制造统一招标与技贸结合引进技术,依托后续的黑糜峰、蒲石河等抽水蓄能电站机组的消化吸收,抽水蓄能机组设备国产化的步伐大大加快。现如今,中国已形成300MW级及以上抽水蓄能机组关键核心技术。从2007年开始,陆续设计、制造了响水涧、清远、仙游等抽水蓄能电站的机电设备。
中国建设了高精度水力机械模型试验台,表7列出了试验台与世界各国的比较。试验台建设为开发优秀水力机械模型打下了基础,并且进行了大型水电站、抽水蓄能电站同台对比试验,为科学评标提供平台。

中国抽水蓄能电站建设起步晚、发展快、未来需求大。2014年已经建总装机容量达2.211×107kW,居世界第三,约占全国电力总装机容量的2%,尚低于发达国家约5%的水平,预计2030年装机为1.2×108kW。除了机组技术进展外,在全池防渗、高压引水隧洞输水、厂房抗振等方面亦获得了创新成果。
提出了沥青与混凝土面板全池防渗耐久性定量设计理念,建立了室内、外老化对应关系,开发的改性沥青抗冻断温度可达–45℃,为世界最低;提出了防渗层沥青混凝土抗低温冻断、抗高温流淌的设计方法。提出了超高压输水隧洞钢衬和非钢衬的判据,提出了15MPa超高压灌浆工艺与施工新技术;提出了厂房抗振动力学模态分析方法,实现了全过程共振频率、振动位移“双控制”。上述的这些技术,在天荒坪、呼和浩特等蓄能电站成功应用,获得了良好的效果。工程造价图例
▲地下洞室
在21世纪以来,中国的水电开发逐渐向水能资源丰富的西南高山峡谷地区转移,地下水电站在数量和规模上都有重大突破。三峡、二滩等电站的地下厂房主体洞室高跨比达到2.13~2.67,大大突破原有锚喷支护地下洞室高跨比(0.8~1.2)的一般经验范围;龙滩、溪洛渡、向家坝等电站的地下厂房跨度均已超过30m,最大单机容量达700~800MW,在建的白鹤滩水电站单机容量向1000MW迈进。这些地下厂房涉及到的地下洞室群规模宏大、结构复杂,提出了一系列需要解决的关键技术难题,推动了中国地下洞室群设计水平与施工技术的迅猛发展。
地下洞室建设实施以新奥法理论为基础的动态设计原则,强调设计、施工与监测三位一体,按照监测反馈分析的成果及时优化开挖支护设计参数、采取合适支护措施,保证了施工期的围岩稳定与安全。
施工技术不断地向集成创新方面转变,覆盖了施工的各个环节,比如:
(1)测量技术的发展、钻孔精度与轮廓爆破技术的提高,令开挖质量近乎完美。
(2)钢纤维与聚丙烯微纤维喷混凝土的应用,以及岩土锚固技术的发展,结合分层分块的优选及预加固技术,促使在不良地质条件下的大洞室开挖稳定技术更为成熟。
(3)反井钻机与开敞式TBM掘进机的应用和滑模技术的完善,实现了长斜井与深竖井的快速施工。
(4)高效通风机的研制及通风方法研究,解决了复杂洞群的通风散烟难题。
(5)“平面多工序,立体多层次”工法的广泛推广,极大地提升了地下洞室群的施工速度。
▲生态保护
中国的水利水电建设越来越高度关注生态环境保护研究和实践,在水库生态调度、大坝分层取水、珍稀鱼类保护等多个方面采取了最为严格的措施,取得了比较好的成效。工程造价样板
近年来,中国在水库生态调度的理论研究与实践应用取得了丰富成果及长足进步。水库生态调度目标已经从单一物种或者种群发展到整体生态系统;生态调度控制对象由单一水库调度,发展到梯级水库群联合调度;生态调度影响范围由一段河道、河流,发展到覆盖整个流域;生态调度时段由针对目标保护物种的生态关键期发展到全年期,甚至考虑预报因素的中长期调度。在上述的基础上,王浩院士开展了面向生态的流域综合调度研究,构建了流域生态调度理论技术体系。自1999年以来,黄河流域实行全流域统一调度,三门峡、小浪底和万家寨多次实施联合调度,确保了河流的基本生态流量,防止了黄河干流断流,恢复了河口与下游的生态。除此之外,通过水库生态调度,还成功实施了珠江补淡压咸、引岳济淀等应急调水工程,修复了河流生态,维护了河流的健康。
中国20世纪60年代在借鉴美国、日本等国的多层式、竖井式取水口等型式的基础上,为解决水库下泄低温水问题修建了一些分层取水结构。在21世纪以来,在200m、300m级特高坝建设中,进一步发展和提出了以叠梁门为代表的分层取水布置技术,解决了高坝大库分层取水进水口的水温控制与安全运行等难题,并且已在锦屏一级、溪洛渡、糯扎渡、光照等大型水电站中成功运用。在这当中,锦屏一级坝高达305m,电站运行水位变幅达80m,单机引水流量为350m³·s–1,分层取水设施的运行水头、流量等规模居世界前列。
围绕中华鲟自然及人工种群的保护,中国学者在中华鲟繁育技术、中华鲟物种保护技术、中华鲟自然种群动态及洄游运动规律研究等方面取得了突出进展,如今已经累计向长江、珠江等放流中华鲟500万尾,为中华鲟自然种群资源的维持和保护提供了重要保障。
对保护鱼类有需求的水利水电工程,必须要建设鱼类过坝设施,中国已经研究并制定了《水利水电工程鱼道设计导则》。如今在建的珠江大藤峡、江西峡江、西藏拉洛等水利工程上都建有鱼道。此外,为了能够满足水利水电工程下游生态需水要求,如今设计的所有水利水电工程都专门设置了生态放水孔洞,从而保障工程从施工到运行全过程能泄放下游生态流量。
中国未来的水利水电建设将会向西部转移,地质条件更为复杂,生态环境更为脆弱,工程建设面临更大的挑战。然而我们相信,基于已有成果与不断创新,中国的水利水电建设技术必将会实现新的跨越,并为世界水利水电发展做出更大的贡献。楼房工程造价